Trik Mudah dan Cepat Hitung Soal Perkalian Matematika
Penulis Unknown | Ditayangkan 14 Apr 2015Matematika merupakan salah satu pelajaran yang paling ditakuti oleh kebanyakan siswa. Mereka menganggap rumus dan perhitungan di dalam Matematika itu sangat rumit dan bisa membuat kepala pecah.
Namun, banyak sekali trik-trik tersembunyi yang bisa dipelajari untuk memudahkan kita dalam menyelesaikan soal Matematika. Sehingga membuat pelajaran yang satu ini menjadi lebih mudah, menyenangkan, dan tidak lagi menjadi mata pelajaran yang ditakuti.
Di sini akan dibahas tentang trik atau cara mudah dan cepat hitung soal perkalian Matematika. Karena perkalian merupakan dasar dari penghitungan soal Matematika selain penjumlahan dan pengurangan, maka untuk menghitung perkalian diperlukan cara yang cepat untuk memudahkan dan mempercepat dalam menyelesaikan sebuah soal Matematika.
Berikut ini trik cara hitung soal perkalian dengan cepat dan mudah :
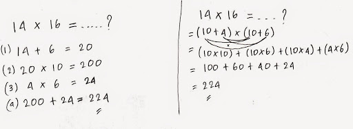
Contoh soal : 14 (yang dikali) x 16 (yang mengali) = ….?
1.    Tambahkan angka belakanga bilangan yang mengali, yaitu 6 pada bilangan yang dikali, yaitu 14
14 + 6 = 20
2.    Kemudian kalikan jawaban di atas kali 10 atau menambahkan angka 0 di belakang
20 x 10 = 200
3.    Kalikan satuan yang dikali (4) dengan satuan yang mengali (6)
4 x 6 = 24
4.    Jumlahkan hasil hitungan di langkah 2 dan langkah 3
200 + 24 = 224
Atau cara mudah lainnya :
14 x 16 = ….
= (10 + 4) x (10 + 6) 
= 100 + 60 + 40 + 24
= 224
Mudah bukan? Cara mudah ini juga efektif untuk mengajar anak belajar perkalian agar mudah dimengerti dan dipahami. Dengan cara ini kita bisa menghitung perkalian antara 11x11 hingga 19x19 dengan cepat dan mudah.
Yuk, latihan lagi…
1.    Berapakah 17 x 12 =….?
(1)   17 + 2 = 19
(2)   19 x 10 = 190
(3)   7 x 2 = 14
(4)   190 + 14 = 204
2.    Berapakah 19 x 13 =….?
(1)   19 + 3 = 22
(2)   22 x 10 = 220
(3)   9 x 3 = 27
(4)   220 + 27 = 247
Dengan cara ini kita bisa menghitung perkalian dengan sangat mudah dan cepat. Kita juga bisa mengajarkan cara ini kepada anak atau murid kita di sekolah jika anda adalah seorang guru. Selamat mencoba ya sobat wajibbaca.com dan semoga artikel ini bisa bermanfaat buat kita semua.
    